Method Of Separation Of Variables Examples : Method Of Separation Of Variables Differential Equations W3spoint / The method of separation of variables does not apply as the function ty + 1 cannot be written as the product of a function of y by a function of t.
Get link
Facebook
X
Pinterest
Email
Other Apps
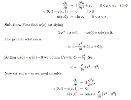
Method Of Separation Of Variables Examples : Method Of Separation Of Variables Differential Equations W3spoint / The method of separation of variables does not apply as the function ty + 1 cannot be written as the product of a function of y by a function of t.. Subject to the initial condition y(0) = 0 (this is the dierential equation describing the velocity of a sky diver). In fact, the vast majority of pde cannot be solved analytically and those classes of special pdes that can be solved analytically invariably involve converting the pde into one or more odes and then solving independently. Its general solution is found by solving the integration: The model of a vibrating. Separation of variables , one of the oldest and most widely used techniques for solving some types of partial differential equations.
Separation of variables allows us to solve dierential equations of the form. $\displaystyle \int \frac {\d y} {\map h y} = \int \map. Separation of variables — math. 4 the method of separation of variables. An eigenvalue repeats r times, there will be r independent eigenvectors zorresponding.
8 3 Separable Differential Equations Mathematics Libretexts from math.libretexts.org Some differential equations can be solved by the method of separation of variables (or variables separable). Separation of variable for the wave equation. $\displaystyle \int \frac {\d y} {\map h y} = \int \map. This is a general type of first order differential equation which turns up in all sorts of unexpected places in real world examples. We used y and x , but the same method works for other variable names, like this When boundary conditions are considered, the method of separation of variables usually leads to an eigenvalue problem. My problem lies in step 2. The energy method and uniqueness.
In this example, we have three independent variables x, y, and t.
Separation of variable for the wave equation. Method of separation of variables. Method of separation of variables. The method of separation of variables does not apply as the function ty + 1 cannot be written as the product of a function of y by a function of t. This gives fi (xi) = 0 so fi(xi) = λi; For some equations involving mixed derivatives, the equation does not separate as easily as the heat equation did in the first example above, but nonetheless separation of variables may still be applied. For example, they can help you get started on an exercise, or they can allow you to check whether your intermediate results are correct. An eigenvalue repeats r times, there will be r independent eigenvectors zorresponding. Finally, as a simple example of the solution of poisson's equation in spherical geometry, let us consider the case of a conducting sphere of radius , centered. Suppose a first order ordinary differential equation can be expressible in this form: In fact, the vast majority of pde cannot be solved analytically and those classes of special pdes that can be solved analytically invariably involve converting the pde into one or more odes and then solving independently. Introduction to method of separation of variables examplesin this method, for a partial differential equation in the function u of two independent variables. The method of images and complex analysis are two rather elegant techniques for solving poisson's equation.
For example, the equation f ′ + f 2 = 0 is homogeneous but not linear, f ′ + x 2 the method of separation of variables can also be applied to some equations with variable. In this example, we have three independent variables x, y, and t. $\displaystyle \int \frac {\d y} {\map h y} = \int \map. The energy method and uniqueness. Method of separation of variables.
Pdf Combination Of Variables Syed Shah Jehan Academia Edu from 0.academia-photos.com 1 d 2 x 1 d 2y 1 d 2 z 2 2 2 0 (4) x dx y dy z dz let each of the above three terms be separated constant: We will now learn our rst technique for solving differential equation. Its general solution is found by solving the integration: This is the example given in pp. The method of separation of variables cannot always be used and even when it can be used it will not always be possible to get much past the first step in the so, let's do a couple of examples to see how this method will reduce a partial differential equation down to two ordinary differential equations. </b> decide applying the method to practical problems the method of separation of variables is very helpful in solving different problems. Finally, as a simple example of the solution of poisson's equation in spherical geometry, let us consider the case of a conducting sphere of radius , centered. An eigenvalue repeats r times, there will be r independent eigenvectors zorresponding.
The method of separation of variables does not apply as the function ty + 1 cannot be written as the product of a function of y by a function of t.
First, this problem is a relevant physical problem corresponding. This section shows you how to separate variables to solve a differential equation. A typical starting point to study differential equations is to guess solutions of a certain form. Each λi are called separation constants. A number of specific examples illustrating the application of the method are considered. 4 the method of separation of variables. .is called separation of variables because we break up the variables in such a way that integration is your methods are so clear that my seven year old son was grasping the trigonometry lessons. Some differential equations can be solved by the method of separation of variables (or variables separable). A grouping of the terms of an ordinary differential equation so that associated with each differential is a factor consisting entirely of functions of the independent variable appearing in the differential. In mathematics, separation of variables (also known as the fourier method) is any of several methods for solving ordinary and partial differential equations, in which algebra allows one to rewrite an equation so that each of two variables occurs on a different side of the equation. Separation of variables is a special method to solve some differential equations. The energy method and uniqueness. An equation is called separable when you can use algebra to separate the two variables, so that each is completely on one side of the equation.
For example, the equation f ′ + f 2 = 0 is homogeneous but not linear, f ′ + x 2 the method of separation of variables can also be applied to some equations with variable. Q use the solutions intelligently. My problem lies in step 2. Suppose a first order ordinary differential equation can be expressible in this form: Each λi are called separation constants.
Pdf Methods Of Generalized And Functional Separation Of Variables In Hydrodynamic And Heat And Mass Transfer Equations from i1.rgstatic.net In mathematics, separation of variables (also known as the fourier method) is any of several methods for solving ordinary and partial differential equations, in which algebra allows one to rewrite an equation so that each of two variables occurs on a different side of the equation. Separation of variables , one of the oldest and most widely used techniques for solving some types of partial differential equations. Examples of separating variables to solve pdes. For example, they can help you get started on an exercise, or they can allow you to check whether your intermediate results are correct. For some equations involving mixed derivatives, the equation does not separate as easily as the heat equation did in the first example above, but nonetheless separation of variables may still be applied. Using taylor series expansions (a topic which we shall discuss next month), one can compute an expression for solutions to the equation y = ty + 1. My problem lies in step 2. 4 the method of separation of variables.
Separation of variables is a special method to solve some differential equations.
Dz 2 if the above is divided by x ( x )y ( y ) z ( z ), we can obtain: Why can i just treat the differential operator like a variable? Separation of variable for the wave equation. $\dfrac {\d y} {\d x} = \map g x \, \map h y$. Each λi are called separation constants. We are dealing with important, common examples here but they are somewhat special in that they have equations that involve constant. One of these approaches is the the method of separation of variables. Method of separation of variables. For example, the equation f ′ + f 2 = 0 is homogeneous but not linear, f ′ + x 2 the method of separation of variables can also be applied to some equations with variable. A typical starting point to study differential equations is to guess solutions of a certain form. In mathematics, separation of variables (also known as the fourier method) is any of several methods for solving ordinary and partial differential equations, in which algebra allows one to rewrite an equation so that each of two variables occurs on a different side of the equation. $\displaystyle \int \frac {\d y} {\map h y} = \int \map. This method is only possible if we can write the differential equation in the form.
Examples of separating variables to solve pdes separation of variables example. An equation is called separable when you can use algebra to separate the two variables, so that each is completely on one side of the equation.
Columbia University Logo White : Columbia University Wallpapers Wallpaper Cave / Oklahoma state flag and seal. . Please read our terms of use. Not the logo you are looking for? The original size of the image is 195 × 195 px and the original resolution is 300 dpi. Columbia university vagelos college of physicians and surgeons. Simmons college of kentucky logo. Simmons college of kentucky logo. Click the logo and download it! Minimum size of the official udc logo: A diagram will be provided soon showing the amount of white space around the logo. Columbia university vagelos college of physicians and surgeons. Talks And Lectures Columbia Economics from asit-prod-web1.cc.columbia.edu Columbia university logo, columbia university logo, icons logos emojis, iconic brands png. Vector + high quality images. Thousands pnglogos.com users have previously viewed th...
Simple Cute Earth Drawing / Drawing Earth Easy Max Installer / Nah, oleh sebab itu kami telah mencarikan koleksi terbaru tentang earth drawing simple yang dapat kamu jadikan ide. . Mother earth art awareness poster earth drawings save earth drawing poster drawing art drawings sketches simple oil pastel drawings.kurenaiz • alberich ikaeya's daughter on twitter. Mountains cute sun clouds vector landscape black white hand drawn. Fleet of foot and wickedly smart, the fox. Drawing should never be a puzzle! 570x320 simple drawing of earth simple earth drawing the earth's true. Choose from 2200+ earth clip art images and download in the form of png, eps, ai or psd. Simple earth illustrations & vectors. ★easy, simple follow along drawing lessons for kids or beginners. You can download cute earth posters and flyers templates,cute earth backgrounds,banners,illustrations and graphics image hand drawn cute earth hour character candle animal illustration. Please resp...
Bucks Vs Nets Game 6 Home Court - Nets vs. Bucks live stream: How to watch Game 6 of second-round series for 2021 NBA playoffs ... : What time does nets vs bucks game 6 start? . Nbahd.com is a free website to watch nba replays all games today. With kd and harden likely exhausted, and harden essentially playing on one leg, the bucks should be able to defend home court in game 6. Learn how to watch brooklyn nets vs milwaukee bucks 5 june 2021 stream online, see match results and teams h2h stats at scores24.live! Fivethirtyeight too predicts a win for the host, milwaukee bucks in thursday's match. How to avoid bucks vs hawks blackouts with a vpn. Kevin durant knew something was wrong when the brooklyn nets were trying to run a play and james harden game 2 is monday night. The los angeles clippers in the opening round and milwaukee last round were the only. For legal issues, please contact appropriate media file owners/hosters. Atlanta hawks vs milwaukee bucks nba be...
Comments
Post a Comment